qld — linear quadratic programming solver
[x,lagr]=qld(Q,p,C,b,ci,cs,me [,tol]) [x,lagr,info]=qld(Q,p,C,b,ci,cs,me [,tol])
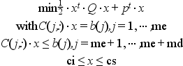
real positive definite symmetric matrix (dimension n
x n).
real (column) vector (dimension n)
real matrix (dimension (me + md) x
n)
RHS column vector (dimension (me +
md))
column vector of lower-bounds (dimension
n). If there are no lower bound constraints, put
ci = []. If some components of
x are bounded from below, set the other
(unconstrained) values of ci to a very large
negative number (e.g. ci(j) =
-number_properties('huge').
column vector of upper-bounds. (Same remarks as above).
number of equality constraints (i.e. C(1:me,:)*x =
b(1:me))
Floatting point number, required précision.
optimal solution found.
vector of Lagrange multipliers. If lower and upper-bounds
ci,cs are provided, lagr has
n + me + md components and
lagr(1:n) is the Lagrange vector associated with
the bound constraints and lagr (n+1 : n + me +
md) is the Lagrange vector associated with the linear
constraints. (If an upper-bound (resp. lower-bound) constraint
i is active lagr(i) is > 0
(resp. <0). If no bounds are provided, lagr
has only me + md components.
integer, return the execution status instead of sending errors.
info==1 : Too many iterations needed
info==2 : Accuracy insufficient to statisfy convergence criterion
info==5 : Length of working array is too short
info==10: The constraints are inconsistent

This function requires Q to be positive definite,
if it is not the case, one may use the The contributed toolbox "quapro".
//Find x in R^6 such that:
//C1*x = b1 (3 equality constraints i.e me=3)
C1= [1,-1,1,0,3,1;
-1,0,-3,-4,5,6;
2,5,3,0,1,0];
b1=[1;2;3];
//C2*x <= b2 (2 inequality constraints)
C2=[0,1,0,1,2,-1;
-1,0,2,1,1,0];
b2=[-1;2.5];
//with x between ci and cs:
ci=[-1000;-10000;0;-1000;-1000;-1000];cs=[10000;100;1.5;100;100;1000];
//and minimize 0.5*x'*Q*x + p'*x with
p=[1;2;3;4;5;6]; Q=eye(6,6);
//No initial point is given;
C=[C1;C2];
b=[b1;b2];
me=3;
[x,lagr]=qld(Q,p,C,b,ci,cs,me)
//Only linear constraints (1 to 4) are active (lagr(1:6)=0):
The contributed toolbox "quapro" may also be of interest, in
particular for singular Q.