right up left contents index
Précédent: "SpxMailleRect3d"
Suivant: "SpxMailleTetra3d"
Haut: "Envoi de données 3d"

SpxTetra3d 

void SpxTetra3d(int nx,int ny,REEL_S x[],int dimx,REEL_S y[],
        int dimy,REEL_S z[],int dimz,SPXFILE* spx_file)
void SpxDTetra3d(int nx,int ny,REEL x[],int dimx,REEL y[],
        int dimy,REEL z[],int dimz,SPXFILE* spx_file)
void Spx4Tetra3d(int nx,int ny,REEL4 x[],int dimx,REEL4 y[],
        int dimy,REEL4 z[],int dimz,SPXFILE* spx_file)
void Spx8Tetra3d(int nx,int ny,REEL8 x[],int dimx,REEL8 y[],
        int dimy,REEL8 z[],int dimz,SPXFILE* spx_file)

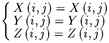
Cette routine envoit trois tableaux X(i,j), Y(i,j), Z(i,j) qui seront interpreté par Narcisse comme une surface (3d surfacique) de type :

display_equation1303

Elle déclenche un calcul image si le mot clé calcul_socket a la valeur 1. L'habillage de la courbe est donné par l'état de la configuration de Narcisse au moment du tracé.

X, Y et Z sont des tableaux bidimensionnels dont la première dimension déclarée dans le programme appelant est respectivement dimx, dimy et dimz.

Le nombre maximum de points en i est NX.

Le nombre maximum de points en j est NY.

spx_file est le pointeur sur une connexion renvoyé par SpxOpen qui doit avoir été préalablement appelé.

On peut envoyer plusieurs fichiers (de configuration, de tableaux numériques) avec le même SpxOpen.